
1978年,R. W. Hoffmann第一次报道了利用手性非消旋烯丙基硼酸酯对映选择性合成高烯丙醇, 他研究了(+)-樟脑衍生烯丙基硼酸酯和一系列的脂肪醛反应高产率的制备高烯丙醇,但具有中等的对映选择性。几年后,W.R. Roush解释了烯丙基硼酸和醛的反应机理,并发现了酒石酸二异丙酯衍生的烯丙基硼酸和醛反应,高产率和高对映选择性的得到高烯丙醇,此反应被称为Roush不对称烯丙基化反应。此类手性烯丙基硼酸酯通过烯丙基硼酸酯化得到或者烯丙基硼酸二异丙酯和特定的酒石酸酯交换得到。
反应特点:一、此反应通常在甲苯中,加入4Å分子筛,在-78 °C下反应;二、通过两种特定酒石酸二异丙酯对映异构体作为手性助剂,此方法可以制备高烯丙醇产物的两种对映异构体;三、对于手性醛,这个反应显示出高度的匹配和不匹配非对映选择性;四、脂肪醛和芳香醛都可以作为底物;五、(E)-巴豆基硼酸衍生物主要会得到反式非对映异构体,而(Z)-巴豆基硼酸衍生物主要得到顺式产物;六、(E)-巴豆基硼酸衍生物反应后得到的高烯丙醇产物比(Z)-巴豆基硼酸衍生物得到产物具有更高的对映选择性。
除了Roush不对称烯丙基化反应,很多其他的利用手性烯丙基硼烷和烯丙基硼酸进行不对称合成高烯丙醇的方法被开发出来:一、H.C. Brown报道了利用B-烯丙基二异松莰基硼烷的方法;二、E.J. Corey报道了利用 1,2-二胺基-1,2-二苯基乙烷衍生的烯丙基硼烷的方法;三、S. Masamune报道了利用(E)-和(Z)-巴豆基-2,5-二甲基环戊硼烷的方法;四、手性非消旋丙二烯基硼酸酯也可以用于对映选择性合成相应的炔丙醇。
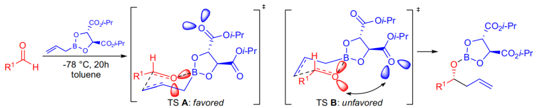
反应机理
根据Roush的研究,不对称诱导可以由醛和酯非键电子对之间的不利的电子排斥作用来解释,中间态A比中间态B更稳定。


反应实例

【Angew. Chem., Int. Ed. Engl. 2003, 42, 4779-4782】

【Angew. Chem., Int. Ed. Engl. 1998, 37, 192-196】

【Synlett 2001, 694-696】

【J. Org. Chem. 1998, 63, 6774-6775;J. Org. Chem. 1996, 61, 100-104】
编译自:Strategic Applications of Named Reactions in Organic Synthesis, LászlóKürti and Barbara Czakó, Roush asymmetric allylation, page 386-387.
